Продуктовый аналитик: Путешествие туда и обратно
Глава 3. Дорога испытаний
3.1. Метрики: тайный священный язык геймдева
Впереди вас ждёт дорога испытаний. Карта приключений покрыта древними рунами тайного языка, которые укажут вам путь через запутанные Тропы метрик, Болота сырых данных и Туман непонимания. Понять эти руны значит получить способность видеть дальше красивых картинок и увлекательных механик, видеть больше, чем аудитория, и шире, чем команда разработки.
- Воронка AAARRR как направление жизненного пути игрока
- Awareness и Acquisition или откуда берутся игроки
- Activation как драматичный этап игры
- Retention как сердце игровой аналитики
- Revenue как ценность которую игрок может купить
- ROAS и успех проекта
Метрики как количественные характеристики психологического пути игрока
Большое число команд в геймдеве совершают одну и ту же ошибку, и это не связано с техническим исполнением, бизнес-моделью или нехваткой творческого таланта. Это ошибка восприятия метрик аналитики. Они выучили названия «магических» метрик, научились измерять те из них, что легко измерить, условно, выручку или количество установок, и считают, что овладели аналитикой. Они говорят «у нас хороший DAU» или «CPI вырос на 15%», кивают головой на командном созвоне и расходятся, не понимая, что только что сообщили друг другу симптомы без диагноза.
Очень многие игнорируют смысл, стоящий за метриками. Не видят того, что действительно важно: почему игрок не вернулся на третий день, почему он начал или перестал платить, почему игра с красивыми скриншотами и хвалебными отзывами прессы медленно умирает по воронке. Это как видеть симптомы и перебирать лекарства наугад, не зная диагноза. Они как будто в «Тумане непонимания».
Для аналитика метрики это не «магические» скучные цифры. Это количественные характеристики жизненного пути игрока. Каждый игрок, который скачал вашу игру, проходит через психологическое путешествие: он узнаёт о существовании игры, заинтересовывается, устанавливает, делает первые шаги, возвращается или уходит, решает заплатить или нет, рекомендует друзьям или тихо удаляет с телефона. Метрика не волшебная цифра, а способ получить измеримый ответ.
Например, DAU это не просто «сколько человек играло сегодня». Это ответ на вопрос: «Насколько наша игра встроена в ежедневный ритм жизни игроков?». D1 Retention это не просто «процент вернувшихся на второй день». Это ответ на вопрос: «Наш первый опыт достаточно хорош, чтобы человек захотел вернуться?». LTV это не просто «средняя выручка с пользователя». Это ответ на вопрос: «Сколько ценности наша игра создаёт для игрока за всё время его присутствия в ней?».
Понять это необходимо чтобы научиться не только диагностировать симптомы изменений, но и понимать причины происходящих событий. Это разница между тем, кто сообщает: «DAU упал на 12%», и тем, кто говорит: «DAU упал на 12%, потому что в туториале есть шаг с отвалами 34%, который убивает D1 Retention и не позволяет новичкам дойти до Aha-Moment. Вот дизайн A/B-теста, который это проверит». Первое это просто факт. Второе это работа продуктового аналитика.
Эта статья ваша карта по тайному языку метрик геймдева. Мы пройдём весь путь: от первого показа рекламного объявления до момента, когда игрок становится постоянным плательщиком и обеспечивает будущее проекта. Мы разберём каждую ключевую метрику воронки AAARRR (и даже немного ее изменим), не просто разберем «что это такое», но и «почему это работает именно так».
Если вы продуктовый аналитик, это ваш язык. Если вы продюсер, гейм-дизайнер или маркетолог, это карта пути по которому аналитик проложил для вас дорогу в Тумане.
3.1.1. Воронка AAARRR как направление жизненного пути игрока
Дэйв МакКлюр в 2007 году придумал описание SaaS-воронки в виде аббревиатуры AARRR, что звучит как боевой клич морского разбойника. В геймдеве традиционно используют расширенную версию AAARRR с дополнительным A для Awareness в начале. Потому что в играх путь к установке начинается задолго до клика на «Скачать».
В теории воронка AAARRR выглядит как шесть понятных и последовательных шагов: игрок узнаёт об игре (Awareness), скачивает и запускает (Acquisition), получает первый фан (Activation), возвращается играть (Retention), платит (Revenue), рекомендует (Referral). Но в реальности геймдевовская воронка для F2P устроена сложнее, чем классическая SaaS-воронка.
Во-первых, Revenue есть уже в Activation. Первый «starter pack» в мобильной игре за $0.99 в нулевой день (D0), это монетизация на этапе, когда игрок ещё не успел сформировать устойчивую привычку. Это осознанное продуктовое решение в мобилках: поймать игрока в момент пика эмоций от первого опыта, когда эйфория новизны максимальна.
Во-вторых, Referral точно не окончание воронки. Шаг Referral встроен в игровые механики, а не в реферальную программу с кодом скидки как в классическом SaaS. Гильдии в MMORPG работают как реферальный механизм. PvP-лидерборды это тоже реферальный механизм. Совместные рейды это крутой реферальный механизм. Игрок не «делится ссылкой», он зовёт друга в клан пережить вместе с ним азарт битвы и сладость победы! Поэтому позволю себе в дальнейшем заменить последний R в AAARRR воронке на ROAS или ROI, что гораздо ближе к логике игр.
В-третьих, воронка не обязательно линейна. Игрок может застрять в Activation неделями, получая маленькие дозы удовольствия, но не доходя до настоящего «драйва». Может уйти и вернуться через месяц по возвратной кампании и тогда он снова проходит Activation, но с другим психологическим профилем.
В итоге наша воронка пути игрока выглядит примерно так.

Однако ключевой принцип воронки неизменен: каждый этап воронки «протекает» в следующий с определенной конверсией, и часто задача аналитика в том, чтобы найти, где потери сильнее всего. Конверсия лишь способ диагностики. Так D1 Retention 25% пока скорее симптом. Понять почему именно 25%, а не 35% — это диагноз. Как поднять до 35% — это уже лечение.
Но прежде, чем идти дальше, кратко разберем ещё одну модель AIDA.
AIDA (Attention → Interest → Desire → Action) это психологическая модель прохождения потребителя через принятие решения. Элиас Сент-Эльмо Льюис описал её ещё в 1898 году, настоящая классика, но она работает до сих пор, потому что описывает не маркетинговые тактики, а человеческую психологию.
• Attention - человек заметил.
• Interest - человек заинтересовался.
• Desire - человек захотел.
• Action - человек сделал.
Если AAARRR описывает бизнес-воронку (что происходит с потоком пользователей). То AIDA описывает психологическую воронку (что происходит в голове каждого пользователя). Уметь связать их поможет получить полную картину: видеть не только «где теряются игроки», но и «почему они теряются с точки зрения человеческой психологии».
3.1.2. Awareness и Acquisition или откуда берутся игроки
Прежде чем игрок нажмёт «Скачать», он должен знать, что игра существует и она хороша. Чтобы он узнал маркетолог игры должен заплатить за то, чтобы потенциальный игрок увидел рекламу. Или игра должна быть настолько хороша, что о ней будут говорить сами. Маркетинговая воронка начинается задолго до Steam.
Awareness: метрики верха воронки
Awareness — это самый незаметный, но важный этап воронки. Незаметный, потому что здесь ещё нечего считать внутри продукта. Важный, потому что без него нет всего остального. Игрок не может установить игру, о существовании которой он не знает. На этом этапе маркетинговая команда работает с несколькими ключевыми метриками.
Impressions (Показы) и Store Impressions
Cуммарное количество показов рекламного объявления или листинга в сторе за период
Impressions это «потолок» вашей воронки. Невозможно получить 10 000 установок из 5 000 показов. Важно понимать, что сами по себе Impressions почти бесполезны без CTR в контексте. Миллион показов аудитории, которой игра принципиально не интересна это деньги на ветер. Impressions определяют возможности.
Разница между ПК и мобайлом здесь существенна. В мобайле основные источники Awareness это рекламные сети (Google UAC, Unity Ads, IronSource) и органика через поиск в App Store и Google Play. В ПК картина другая: к рекламным сетям добавляются Steam Discovery Queue, стримы на Twitch и видеообзоры на YouTube, публикации в игровой прессе и вирусные посты в соцсетях. На ПК органическое открытие через платформу значительно важнее, чем в мобайле, что делает оптимизацию страницы в Steam (Store Page Optimization) критически важным инструментом.
Продуктовая команда редко напрямую влияет на Impressions. Это зона маркетинга и UA (User Acquisition). Но понимание этой метрики даёт контекст для интерпретации всего остального: если Impressions упали вдвое, а установки упали в те же пропорции то это не продуктовая проблема, это рекламный бюджет или алгоритм сторa.
CTR (Click-Through Rate) - коэффициент кликабельности
CTR = клики / показы × 100%
CTR сильно зависит от жанра и аудитории, поэтому сравнивать его между жанрами бессмысленно. Гипер-казуальные игры с простыми, провокационными механическими задачками в креативах дают CTR 5–10%. Хардкорные RPG с богатой лорой и нарративным подходом то 0.5–1.5%. Это не значит, что RPG-реклама работает плохо: просто аудитория другая, и конкурент у неё другой. Бенчмарк имеет смысл только внутри жанра и внутри рекламного канала.
Acquisition: метрики установки
Если Awareness это «игрок узнал о нас», то Acquisition это «игрок пришёл к нам». Это этап установки, и здесь маркетинговые команды тратят гигантскую часть бюджета UA.
CPI (Cost Per Install) - цена установки
CPI = рекламные расходы / количество установок
CPI как самостоятельная метрика появилась вместе с мобильными attribution-трекерами (AppsFlyer, Adjust и других). До этого мобильный маркетинг оперировал более грубыми метриками: CPC (цена клика) и CPA (цена действия). Появление attribution дало маркетологам возможность точно связать рекламные расходы с конкретными установками и CPI стал главной метрикой эффективности UA.
CPI это цена «покупки» игрока. Но главный вопрос не «низкий ли у нас CPI», а «окупается ли этот CPI нашим LTV». Это звучит очевидно, но именно здесь совершается большинство UA-ошибок. CPI $1 звучит замечательно. Но если LTV этого игрока $0.50, то каждая установка приносит убыток $0.50. CPI $5 звучит дорого. Но если LTV $20, то это отличный бизнес. CPI имеет смысл только в паре с LTV. Это первая часть уравнения unit economics. Можно получить очень дешёвые установки через казуальный таргетинг, которые никогда ничего не заплатят. Поэтому лучшие UA-команды благодаря аналитикам оптимизируют не CPI, а ROAS (Return On Ad Spend) прогноз.
IPM (Installs Per Mille) - число установок на тысячу показов
IPM = установки / 1 000 показов
IPM это численное выражение прохождения всей маркетинговой воронки по одному рекламному объявлению: человек увидел → заинтересовался → зашёл в стор → установил.
Метрика используется для оценки и быстрого сравнения рекламных креативов.
Например,
• если IPM>3, то это хороший креатив,
• если IPM=1–3, то пусть пока работает,
• если IPM<1, то или переработать или остановить.
Organic Ratio или коэффициент органики
Organic Ratio = органические установки / платные установки
Organic Ratio, возможно, один из самых эффективных приемов улучшить оценку эффективности Acquisition. Это неотслеживаемый вклад платного трафика: если Organic Ratio = 2, значит, каждая платная установка «притягивает» две органические. Тогда итоговый эффективный CPI с учетом органики в два раза ниже номинального. А если добавить LTV от органики, то ROAS может оказаться гораздо выше, ведь косты на маркетинг все равно фиксированы.
Но органика растёт из нескольких источников не все из которых говорят о качестве продукта: сломанная атрибуция, когда платный трафик размечен как organic, игроки рекомендуют друзьям, видимость в магазине (высокий рейтинг, объемная платная закупка и количество отзывов улучшают алгоритмическое продвижение), медиаупоминания и стримы.
Главная боль на этом этапе воронки это то, что мы платим деньги рекламодателям здесь чтобы привести в нашу игру тех, кому мы надеемся игра понравится, кто будет в нее играть, но мы не знаем будут ли они играть и платить, и окупятся ли наши затраты на разработку и маркетинг.
И, забегая вперед, вероятнее всего 95% игроков платить не будут, а значит всего 5% игроков должны окупить все где-то примерно за год или два! А вы уверены, что эти игроки пришли к вам сегодня? Ведь заплатить за них нужно уже сейчас!
3.1.3. Activation как драматичный этап игры
Возможно, одна из самых драматичных метрик для судьбы проектов это D1 Retention. Она рассказывает правду о первом впечатлении. И правда эта часто неудобная.
Вы уже потратили деньги на долгую разработку игры мечты, на рекламу вашей игры. Игрок увидел объявление, кликнул, перешёл на страницу стора, посмотрел ролик и скриншоты, нажал «Скачать» и «Установить». Установил. Запустил игру. И в этот момент он готов сложить об игре собственное первое впечатление.
Activation это момент, когда игрок должен понять ценность игры и захотеть вернуться. Не просто сыграть один раз, а захотеть сыграть ещё. До этого момента все инвестиции это выброшенные деньги.
D1 Retention первый главный индикатор Activation
D1 Retention = пользователи, вошедшие в игру на 1-й день после установки / первые запуски в день 0 × 100%
D1 Retention простая метрика, которая честно отвечает на вопрос: «Игрок установил игру, поиграл первый день и захотел ли вернуться на следующий день?». Это оценка качества первого опыта, без скидок на маркетинг, без возможности списать плохой результат на аудиторию.
Важный нюанс: D1 не означает «игрок вернулся ровно через 24 часа». Это «игрок зашёл в игру хотя бы один раз в течение суток после установки». Технически это Classic Retention.
Aha-Moment - момент озарения
Концепция Aha-Moment пришла в геймдев из продуктовой аналитики SaaS. Команда соцсети в начале 2010-х обнаружила, что пользователи, добавившие 7 друзей в первые 10 дней после регистрации, с кратно большей вероятностью оставались в сети надолго. Это конкретное событие, после которого вероятность долгосрочного удержания резко возрастала. Не просто «пользователь попробовал продукт», а «пользователь испытал то, ради чего продукт создан».
В играх Aha-Moment это момент, когда игрок впервые по-настоящему чувствует удовольствие от игровой механики. Не «понял, как играть», а именно «почувствовал фан». Первый удачный тактический ход. Первый красивый успех. Первый момент, когда навык и механика совпали и дали ощущение мастерства.
Однако, корреляция удержания и, например, достижения 20 уровня в первый день не означает причинность. Тот факт, что игроки, достигшие Aha-Moment, лучше удерживаются, не означает, что, если вы искусственно «затащите» всех игроков к этому событию (выдадите всем 20 уровень в первый день) они будут удерживаться лучше. Возможно, что путь к 20 уровню в первый день формирует интерес остаться в игре или его достигают только те игроки, которые уже изначально были более вовлечены.
Onboarding Funnel - воронка онбординга
Конверсия между каждым шагом онбординга (Step N → Step N+1)
На практике вы разбиваете весь путь нового игрока на конкретные события, которые обычно выглядят как «рельсы» — регистрация, первый запуск, получение первого уровня, старт туториала, завершение туториала, первая сессия или первый матч и т.д. Воронка показывает, какой процент игроков переходит с каждого шага на следующий.
Скорее всего, потери на одном из шагов воронки более 10% вызовут ваше беспокойство. Это «узкое горлышко», приоритет для оптимизации. Устранение такого узкого горлышка может дать больше дополнительных игроков, чем увеличение рекламного бюджета.
3.1.4. Retention как сердце игровой аналитики
В игру должны играть, она должна нравится, в нее хотелось бы возвращаться. Игрок не будет платить в F2P игре, если не планирует в нее играть.
Пусть x(t) — функция числа активных игроков когорты в течении времени. Предположим, у игроков когорты есть некоторая вероятность что они уйдут k (коэффициент оттока, churn rate).
Тогда уравнение dx/dt = -kx описывает скорость убывания размера нашей когорты новых игроков.
dx/x = -k dt
∫ dx/x = ∫ -k dt
ln|x| = -kt + C
x(t) = x₀ · e^(-kt)
К слову, это модель экспоненциального распада, другими словами, это фундаментальная модель природы, которая описывает в том числе и отток игроков.
Ограничения простой модели
Уравнение dx/dt = -kx содержит скрытую аксиому, что параметр k единый для всей когорты. Это работает для радиоактивного распада (атомы одного изотопа неотличимы), но игроки не атомы.
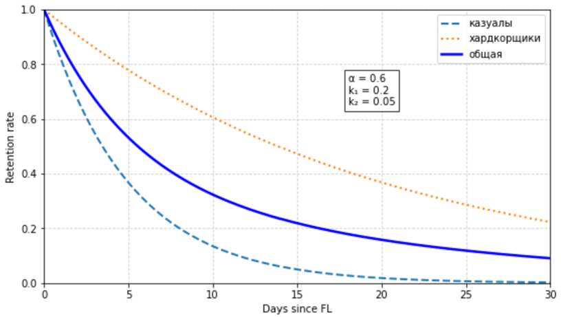
Реальный retention не является уравнением от одной экспоненты. Предположим, в нашей игре есть два типа игроков – казуальные и хардкорные. Тогда итоговые функции Retention это сумма двух экспонент:
R(t) = α·e^(-k₁t) + (1-α)·e^(-k₂t),
где k₁ ≫ k₂, а α – доля казуального типа игроков в выборке. Мы не придумали новую физику, а просто сложили два однородных процесса. И здесь есть красивая симметрия с физикой. Уравнение экспоненциального распада работает как закон для систем из неразличимых элементов. А его нарушение означает сигнал о скрытой неоднородности (гетерогенности).

Параметр α при этом это доля казуального сегмента, которая непосредственно связана с дизайном игры и маркетинговыми каналами привлечения.
Параметр k это отдельная метрика Churn Rate. Высокий Churn говорит о возможных проблемах с core loop (скучно), балансом сложности (слишком тяжело или слишком легко), отсутствием социального слоя (не к чему привязаться), проблемах прогрессии (нет ощущения роста).
Например, для мобильной игры в жанре Match-3 Churn Rate может быть историей о балансе уровней. Слишком долгая серия невозможно сложных уровней создаёт «стену». Это хорошо видно, если построить Retention кривую и посмотреть на неё не в разбивке по дням, а в разбивке по достигнутым уровням. Внимательный аналитик увидит, где именно происходит массовый уход. А опытный аналитик заметит, что массовый уход происходит после того уровня, до которого дорастают игроки в первый день или первую сессию).
Classic Retention vs Rolling Retention как два способа измерить значение в точке
В практике геймдева есть небольшие отличия в терминологии Retention.
Classic Retention (Классическое удержание в заданный день)
Classic Retention D(N) = пользователи, вошедшие в игру именно в день N после установки / первые входы в день 0 × 100%
Классический Retention четко привязан к заданному дню: если игрок вошёл в день 6 и в день 8, но не в день 7 то не засчитывается в Classic D7 Retention.
Rolling Retention (Скользящее удержание)
Rolling Retention D(N) = пользователи, вошедшие в игру в день N или позже / первые входы в день 0 × 100%
Rolling Retention более мягкий и засчитывает игрока, если он был активен хотя бы раз начиная с дня N. Если игрок не зашёл в день 7, но зашёл в день 9 то он засчитывается в Rolling D7. Rolling Retention завышает retention на 30–50% по сравнению с Classic, но лучше отражает удержание для игр с нерегулярными сессиями, например, для стратегий, где игрок может заходить раз в два-три дня в зависимости от темпа игровых событий.
D7 и D30 Retention как ключевые чекпоинты
Если смешать все жанры и все платформы то в геймдеве верят в то, что есть некоторые “магические” значения показателей ретеншена в заданный день. Которые характеризуют три условных слоя вовлеченности игроков.
• R1 (40%) - игроки достаточно заинтересованы в геймплее и визуале
• R7 (20%) - игроки достаточно разобрались в core loop
• R30 (10%) - игра достаточно привлекательна с точки зрения прогрессии и мета-гейма
D7 Retention считают первым серьёзным чекпоинтом удержания, и отражает заход игроков в конкретный 7 день (если день первого входа выбрать за день 0). Он отражает, прошёл ли игрок через «первую неделю знакомства» и нашёл ли в игре достаточно, чтобы остаться после исчезновения новизны первого опыта.
D7 Retention считают одним из «магических» чисел-предикторов долгосрочного удержания. Например, вы можете обнаружить, что корреляция между D7 и D180 Retention в рамках одного жанра обычно более 0.7.
D30 Retention это второй серьёзный чекпоинт, отражающий качество мета-игры. К 30-му дню новизна давно прошла. Игрок остаётся (или не остаётся) только потому, что в игре есть системы, которые создают долгосрочный интерес: прогрессия персонажа, социальные связи (гильдии, кланы), регулярные события, PvP-соревнование.
Разрыв между D7 и D30 — это «потери в мета-игре». Если D7 = 25%, а D30 = 5%, значит, в первую неделю что-то хорошо работает (core loop), а потом игра «заканчивается» для большинства игроков. Нет долгосрочных целей, нет достаточно богатого мета-содержимого, нет сильных социальных механик.
LifeTime это интеграл от функции Retention
Значение Retention в заданный день это однократное значение в заданной точке. Оно ничего не говорит о том, что было перед этим, и не показывает динамику в будущем. Две кривые Retention могут пересекаться в точке, но это не значит, что эти кривые идентичны. А что если краткосрочное удержание упало, а долгосрочное выросло?

Значения в точке всегда колеблются с течением времени и точность измерения в одной «магической» точке подвержена волатильности, что создает проблемы для оценки A/B-тестов.
Для решения проблем подобного рода ученые давно придумали решение в виде функции среднего накопления или Mean Cumulative Function (MCF).
MCF это накопительное значение метрики на заданный момент времени (например, количество сессий, покупок, времени в игре или дохода). Использование такой метрики снижает влияние шума и позволяет точнее проводить статистические тесты для сравнения групп (A/B-тесты).
Функции среднего накопления это один из секретов метрик геймдева.
• Если применить MCF к числу уникальных дней это метрика LifeTime (а его производная это классический Retention).
• Если применить к выручке, то это LTV.
• Если применить к длительности сессий получаем Playtime, ожидаемое игровое время.
К счастью, для расчета LifeTime (LT) вам как аналитику чтобы посчитать площадь под кривой Retention не нужно брать интеграл от функции Retention. Достаточно просто суммировать значение Retention (в долях) по дням для заданной когорты, например, до 7 или 30 дня. Теперь вместо «магических» точек используется вся кривая удержания!
Хороший пример преимущества MCF показан в научной статье по ссылке https://www.researchgate.net/publication/319953114_Measuring_Player_Retention_and_Monetization_Using_the_Mean_Cumulative_Function. Рисунок ниже взят из этой статьи.

Авторы проводят статистический тест трех групп с разной скоростью прогрессии. Верхний график это сравнение функции убывания числа сессий (хорошо видно, как три кривые сильно колеблются), в то время как на нижнем графике, где представлена MCF разница между группами однозначна.
DAU, MAU и Stickiness
DAU (Daily Active Users), ежедневно активные пользователи
Эта метрика была популяризована соцсетями примерно в 2008–2010 годах, когда они начали отчитываться перед инвесторами. До этого web-аналитика считала pageviews и unique visitors. DAU изменило подход: важно не количество посещений, а количество уникальных людей, которые считают продукт частью своего дня. Это более честная метрика чем количество установок, потому что её сложно «накрутить» без настоящей вовлечённости.
MAU (Monthly Active Users) - месячно активные пользователи
Более широкая метрика, учитывает игроков, которые заходят нерегулярно в течении календарного месяца. Для сравнения разных типов игр MAU часто более объективен: стратегия с заходом раз в три дня может иметь прекрасное здоровье при низком DAU, но высоком MAU.
Session Length и Session Frequency
Session Length, длина сессии
Длина сессии отражает глубину погружения. Оптимальная длина принципиально зависит от жанра и платформы — и это важно понимать, чтобы не делать неверные выводы.
• Гипер-казуальные (мобайл): 3–6 минут — это нормально и правильно. Игра рассчитана на заполнение микропауз в течение дня: очередь, поездка в метро, перерыв на кофе.
• Mid-core шутер типа Warface: 15–30 минут — один-два матча в PvP-сессии.
• MMORPG типа Lost Ark: 45–90 минут и более — ежедневные задания, рейды, исследование контента.
Слишком длинные сессии не обязательно хорошо: для мобайл-казуальных игр средняя сессия 20 минут может означать, что игрок «завис» не в хорошем смысле, а в смысле «не может найти выход из бесконечной прокрутки без прогресса».
Session Frequency, частота сессий
Падение Session Frequency один из лучших предикторов скорого ухода из игры. Игрок ещё не ушёл, он возвращается реже. Это тот момент, когда механики удержания (ежедневные подарки, напоминание о незаконченных квестах, об истекающих событиях, о прогрессе в рейтинге) может предотвратить уход.
Для мобильной Match-3 игры снижение Session Frequency часто является ранним сигналом о «стене» в уровнях: игрок встретил серию слишком сложных уровней, начал проигрывать, сессии стали ассоциироваться с разочарованием, а не с удовольствием, и частота упала. Это диагноз для команды гейм-дизайна: проверьте баланс между сложностью и навыком в этом диапазоне уровней.
3.1.5. Revenue как ценность которую игрок может купить
Монетизация не в том, что вы забираете у игрока его деньги. Это та ценность, что вы предлагаете игроку купить. Разница между этими двумя взглядами определяет, будет ли ваша монетизация работать долго или разрушит игру за месяц. Игрок платит, когда воспринимаемая ценность покупки превышает её стоимость.
Большинство F2P игр продают не реальные деньги, а игровую хард-валюту (кристаллы, монеты). Этот промежуточный слой валюты разрывает прямую ассоциацию «я трачу реальные деньги».
Обычно в F2P есть несколько видов обмена хард-валюты:
• Хард-валюта → Время (купи или фарми бесплатно),
• Хард-валюта → Статус (купи то, чего нет у других),
• Хард-валюта → Коллекция/Gacha (монетизация неопределённости),
• Хард-валюта → Power (купи преимущество),
• Хард-валюта → Дополнительный контент (купи новые эмоции от игры).
Conversion Rate - конверсия в платящих
Conversion Rate (или PU%) = количество платящих пользователей / все пользователи × 100%
В F2P-играх Conversion Rate это переход от «не платящего игрока» к «платящему игроку». Секрет в том, что если хотя бы 5% игроков станут плательщиками, то это будет очень хорошим результатом для большинства проектов. Другими словами, 95% ваших игроков скорее всего никогда не заплатят.
Совершить первый платёж психологически сложнее всего. И это часто не вопрос денег, скорее, это вопрос восприятия «зачем платить за бесплатную игру». После его преодоления вероятность второй покупки вырастает в 3–5 раз. Именно поэтому дизайн «первого оффера» (First Purchase Offer, Starter Pack) одно из самых важных продуктовых решений в F2P. Главная цель снизить порог первого платежа до минимума: психологически (ощущение ценности), финансово (низкая цена $0.99–1.99 для первого оффера) и технически (один клик, без долгих форм оплаты).
Часто бывает так, что около 50% всех платящих впервые конвертируются в первую неделю. Как вы думаете, это связано с тем, что игрок рано принимает решение начать платить или это «ошибка выжившего» и те кто мог бы заплатить просто не «доживают» до этого момента?
ARPU, ARPPU
ARPU (Average Revenue Per User) - средняя выручка на пользователя
ARPU по DAU = дневная выручка / DAU
В F2P-играх эта метрика используется только за период, например, ARPU по DAU (ежедневная выручка одного активного игрока) и ARPU по MAU (месячная). Это ответ на вопрос «сколько денег в среднем приносит один активный игрок за один день или один месяц».
ARPU удобная агрегированная метрика для сравнения монетизации между периодами, между сегментами аудитории, между рынками (Япония vs США vs Германия). Но у метрики есть фундаментальная проблема - она маскирует реальную структуру монетизации.
ARPPU (Average Revenue Per Paying User) - средняя выручка на платящего пользователя
ARPPU появился как необходимое разложение ARPU. Если платят 2% игроков, а 98% не платят ничего то ARPU = ARPPU × 0.02. Среднее по всем пользователям маскирует реальную картину распределения платежей, а ARPPU показывает, сколько платят те, кто заплатил.
Традиционная сегментация платящих в F2P:
• Minnows (мальки): < $5/месяц — покупают ситуативно, реагируют на акционные офферы.
• Dolphins (дельфины): $5–50/месяц — регулярно покупают, чувствительны к value proposition.
• Whales (киты): $50–500/месяц — высоко вовлечены, покупают для конкурентного преимущества.
• Super-whales (суперкиты): > $500/месяц — редкие, но критически важные плательщики.
Закон Парето в F2P: топ 1% игроков (whales и super-whales) генерируют 40–60% выручки. Это звучит как хорошая новость («нашли золотую жилу»), но это также и риск, так как потеря небольшого числа whale-игроков может обвалить выручку на десятки процентов.
LTV (Lifetime Value) - сумма денег за всю жизнь игрока в игре
LTV = ∫ ARPU(t) · R(t) dt
Но если же использовать модель с двумя сегментами (казуальных и хардкорных игроков), то итоговое LTV будет как сумма из двух уравнений:
LTV = ∫ ARPU ₁ [α·e^(−k₁t)] dt + ∫ ARPU ₂ (1−α)·e^(−k₂t)] dt ,
где α - доля «быстро выбывающей» части аудитории с коротким циклом жизни (k₁ высокий, ARPU₁ низкий), а (1−α) - доля «долгоиграющих» (k₂ низкий, ARPU₂ высокий).

Вклад сегментов в итоговый LTV непропорционален их доле: казуальные игроки (α, условно, 60–70%), но их вклад в LTV может быть меньше хардкорного меньшинства. У этого две причины: хардкор одновременно дольше живёт (малое k₂) и хардкор больше и чаще платит (высокое ARPU₂).
Соотношение между ценой за привлечение пользователя и LTV (LTV/CPI) и есть основа юнит экономики. Все предыдущие метрики: активация, удержание, конверсия в плательщика, повышение суммы платежа отражают промежуточные показатели, которые в конечном счёте влияют на LTV.
Таким образом, чтобы зарабатывать в проекте больше необходимо: расширить воронку, улучшить удержание и конверсию, нарастить средний чек и частоту покупок.
Как это работает.
• Если вам удается снизить CPI → можно привлечь больше игроков при том же бюджете → при том же LTV больше суммарная прибыль.
• При увеличении D1 Retention → больше игроков доходят до Aha-Moment → выше Retention → ниже Churn → выше LTV.
Как аналитику спрогнозировать LTV для когорты
Предположим у вас есть исторические данные о том, как играют и платят игроки разных когорт. Теперь вам как аналитику надо спрогнозировать для маркетинга окупятся ли затраты на текущую когорту, например, через год, если у вас есть выручка с текущей когорты за неделю.
1. На исторических данных LTV строим кривую, например, LTV=A*ln(t+B)
2. Аппроксимируем исторические данные этой кривой, например, методом наименьших квадратов: при каких А и В сумма квадратов отклонения расчетных и реальных исторических данных минимальна.
3. Выбираем финальное значение которое хотим предсказать, в нашем примере это LTV360 и рассчитываем его по нашему уравнению которое мы подобрали.
4. Нормируем LTV каждого дня на LTV360 как % от максимума на каждый день. Условно, LTV7 это 6% от LTV360, LTV8 это 6,3% от LTV360 и т.д. Как можно догадаться, коэффициент для 360 дня будет равен ровно 1 (или 100%).
5. Рассчитываем текущую выручку когорты на заданный день на основе полученных соотношений. Условно, если когорта прожила только 7 дней, а это 6% от выручки 360 дня то LTV_7/ 0,06 = LTV_360. Чем дольше проживет когорта, тем больше совокупной выручки у нас накопится и тем точнее, обычно, будет прогноз.
3.1.5. ROAS и успех проекта
ROAS (Return On Ad Spend), возврат инвестиций на рекламные расходы
ROAS D(N) = выручка от пользователей, привлечённых за период, за первые N дней / рекламные расходы на привлечение этих пользователей × 100%
В играх прогноз ROAS стал главной метрикой оценки окупаемости рекламных кампаний. В расчете используется наш прогнозный LTV и реальный CPI.
Например:
• D7 ROAS > 20–30% — здоровый ранний сигнал окупаемости.
• D30 ROAS > 60–80% — кампания хорошо движется к окупаемости.
• D180 ROAS predict > 100% — кампания выйдет в прибыль за пол года.
Разумеется, что реальный D7 ROAS ненадёжный способ оценки долгосрочной прибыльности хардкорных и mid-core игр с длинным хвостом монетизации. Whale-игроки часто «молчат» первые недели и конвертируются в крупных плательщиков на 30–90-й день. Отключение кампании на основании только D7 ROAS может убить привлечение именно той аудитории, которая даёт наибольший LTV. Для ПК MMORPG с многолетними активными игроками срок окупаемости от полугода до двух лет вполне приемлем.
3.1.6. Аналитик как переводчик с языка данных на язык решений
Впереди вас ждёт дорога испытаний. Карта приключений покрыта древними рунами тайного языка, которые укажут вам путь через запутанные Тропы метрик, Болота сырых данных и Туман непонимания.
Теперь вы понимаете эти руны, видите в них не просто цифры, а понимаете как они взаимосвязаны и отражают путь ваших игроков. Значит теперь вы получили способность видеть дальше красивых картинок и увлекательных механик, видеть больше, чем аудитория, и шире, чем команда разработки - вот что такое настоящая работа аналитика.
Знание метрик было только первым уровнем. С ним вы становитесь лишь наблюдателем: умеете считать метрики для построения дашборда, знаете формулы, сообщаете о проблемах.
Второй уровень это уровень анализа: понимание взаимосвязи метрик как численного отображения пути игрока поможет связывать метрики между собой, определять, проблемные места, находить причины аномалий и точки роста, предлагать проверяемые гипотезы. И это уже другие деньги и другое уважение команды.
Третий уровень это уровень стратегического партнера: уметь видеть воронку как систему, предсказывать, как изменение одной метрики повлияет на другие. Используйте исследование для построения модели происходящего в вашем проекте, для разработки продуктовой стратегии, формулируйте рекомендации на языке бизнес-решений. Это другое видение. Более системное и более полезное для команды, для бизнеса и, в конечном счёте, для самих игроков. Потому что улучшать игру с пониманием метрик это единственный путь как сделать игру такой чтобы она нравилась игрокам и была успешна.
Теперь карта приключений в ваших руках. Дорога испытаний началась. Вперёд!